"2025년 공무원 봉급과 호봉, 수당, 얼마나 오를까요?"
안녕하세요, 여러분! 오늘은 2025년 공무원 봉급과 호봉에 대해 알아보려고 해요. 새해부터 적용될 봉급과 호봉 인상에 대한 이야기, 궁금하시죠? 공무원을 꿈꾸거나 현재 공직에 있는 분들에게 유익한 정보가 될 거예요.
지난 7월, 공무원보수위원회에서 공무원 보수 인상률에 대한 권고안이 나왔는데요, 5급 이상은 2.5%, 6급 이하는 3.3% 인상 권고가 있었지만, 최종적으로 기재부에서 3% 인상으로 결정이 되었답니다. 내년 봉급표는 12월에 공개된다고 하니, 이제부터 조금씩 준비해 보면 좋겠네요.

💼 봉급과 호봉 인상의 매력
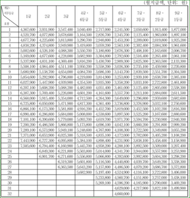
9급 공무원의 경우 2024년 기준 1호봉은 약 1,877,000원이었지만, 2025년에는 1,933,310원으로 인상됩니다. 매달 약간씩 더 들어오는 금액이지만, 이렇게 매년 호봉이 올라간다는 것이 공무원의 매력이 아닐까 싶어요.

특히 호봉제가 적용되는 공무원 직군에서는 1년마다 한 호봉씩 올라가며 임금이 증가하죠. 고위직일수록 인상 폭이 커지고, 호봉이 높을수록 임금 상승 폭이 큰 것도 눈여겨볼 부분입니다. 이러한 호봉제는 직급별로 월급이 꾸준히 상승하는 만큼 노후 생활에 큰 도움이 될 수 있을 것 같아요.

🧑🏫 교원과 특수직의 변화
교원의 경우, 사범대 졸업 후에는 8호봉이 적용돼요. 2024년 기준 8호봉이 2,193,500원이었는데, 2025년에는 2,259,300원으로 오를 예정입니다. 이처럼 직렬에 따라 차이가 있지만, 모두가 조금씩이라도 인상되는 부분이 있어 공무원의 가치가 더욱 빛나는 것 같아요.

✅ 공무원 월급의 비밀, 수당

공무원 봉급표는 직급과 근무 연수에 따라 결정되지만, 실질적인 월급은 봉급에 다양한 수당이 추가된 금액이에요. 특히 경찰이나 소방 같은 특수직렬은 업무의 특성상 수당이 많이 붙어 월급이 크게 늘어나죠. 또한, 정근수당과 정근수당 가산금은 일정 근무 연수를 채우면 추가로 받을 수 있어서 장기근속에 대한 혜택도 충분하답니다.
💰 돈 모으는 재테크 비법 공개! - 직장인 목돈 모으기
💰 돈 모으는 재테크 비법 공개! - 직장인 목돈 모으기
"돈 모으는 재테크 비법 공개! - 직장인 목돈 모으기" 안녕하세요, 여러분! 👋 오늘은 여러분의 꿈을 현실로 만들어줄 재테크 비법을 알려드리려고 해요. 꿈만 꾸던 내 집 마련, 여유로운 노후
krush.co.kr
💸 2025년 공무원 월급의 전망과 가치
공무원의 월급은 매년 물가 상승률과 국가 재정상황에 따라 조금씩 조정되기 때문에, 한 번 공직에 들어가면 안정된 수입을 오랫동안 유지할 수 있어요. 장기적으로 꾸준히 봉급이 올라가고, 다양한 수당을 통해 노후 생활을 대비할 수 있어 안정적인 직업이라고 할 수 있죠.
함께 보면 유익한 정보
이렇게 2025년 공무원 봉급에 대해 살펴보았습니다. 내년에는 또 어떤 변화가 있을지 기대가 되네요!